Topics: show graphics and maps instead of explanation or simple data tables. Static visualization. Bring opaque data into general understanding. Storytelling with numbers. Present surveys and polling data.
Code: R, Python / Tool: RStudio, Jupyter
R static visualizations
In addition to the basic plotting functions, the main packages are ggplot2, and all its extensions, ggvis, lattice and latticeExtra. There are other specialized packages: sm, car, vioplot, vcd, hexbin, scatterplot3d, rgl, cluster, extracat, ash, KernSmooth, corrplot, and many more.
An image is worth…
Consult the series of R mini-cases in a new tab (Show/Hide All Code in the case upper-right corner). For more interactivity, go to project ‘Interactive Visualization’.

Exploring polling data
Consult the R mini-case in a new tab (Show/Hide All Code in the case upper-right corner).

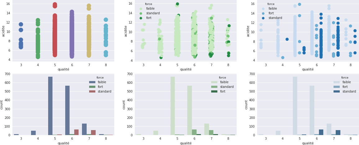
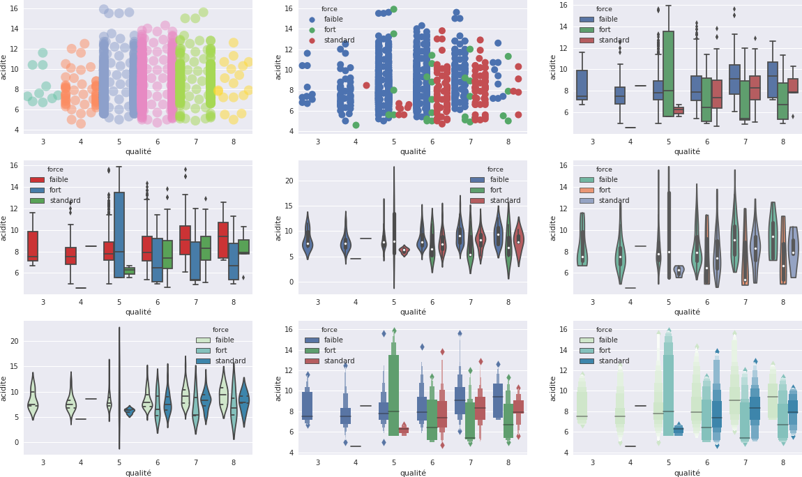
Python static visualizations
The main packages is matplotlib. The pandas package has its own functions, but still relies on matplotlib to render the outputs (first plot below). The seaborn package is a matplotlib fork dedicated to statistics (grid plots below). Python even borrows from R with the ggplot/pygg/plotnine packages. There are other specialized packages: scikit-plot, Yellow Brick, missingno and many more.

Despite being literate, we prefer images. Not only for presenting and explaining, but also for exploring the data. A budget worksheet might seem opaque. We are quicker at reading a treemap. For more treemaps, consult this mini-case in a new tab (Show/Hide All Code in the case upper-right corner).
|
|
|---|
These ‘boxes’ remind us of a chessboard… In the United Kingdom, the finance minister is known as the Chancellor of the Exchequer and the ministry is known as the Exchequer – from Old French ‘eschaquier’, ‘chessboard’ in Modern English, and ‘échiquier’ in Modern French. A reminder that is the Middle Ages, they would use a table mat resembling a large chessboard to perform calculations (such as an abacus). The tradition was instituted by Rollo, the first duke of Normandy, at the beginning of the Xth century.
